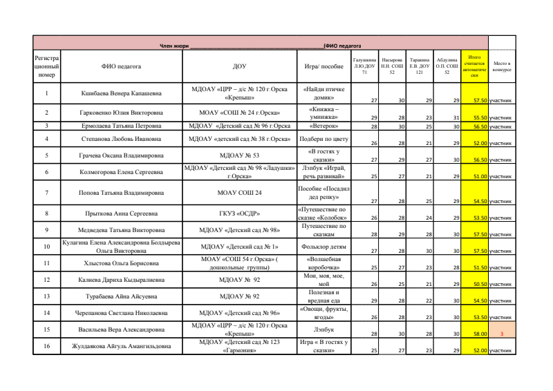
ГМО воспитателей г. Орска«Организация работы с детьми раннего возраста в условиях современного ДОУ"